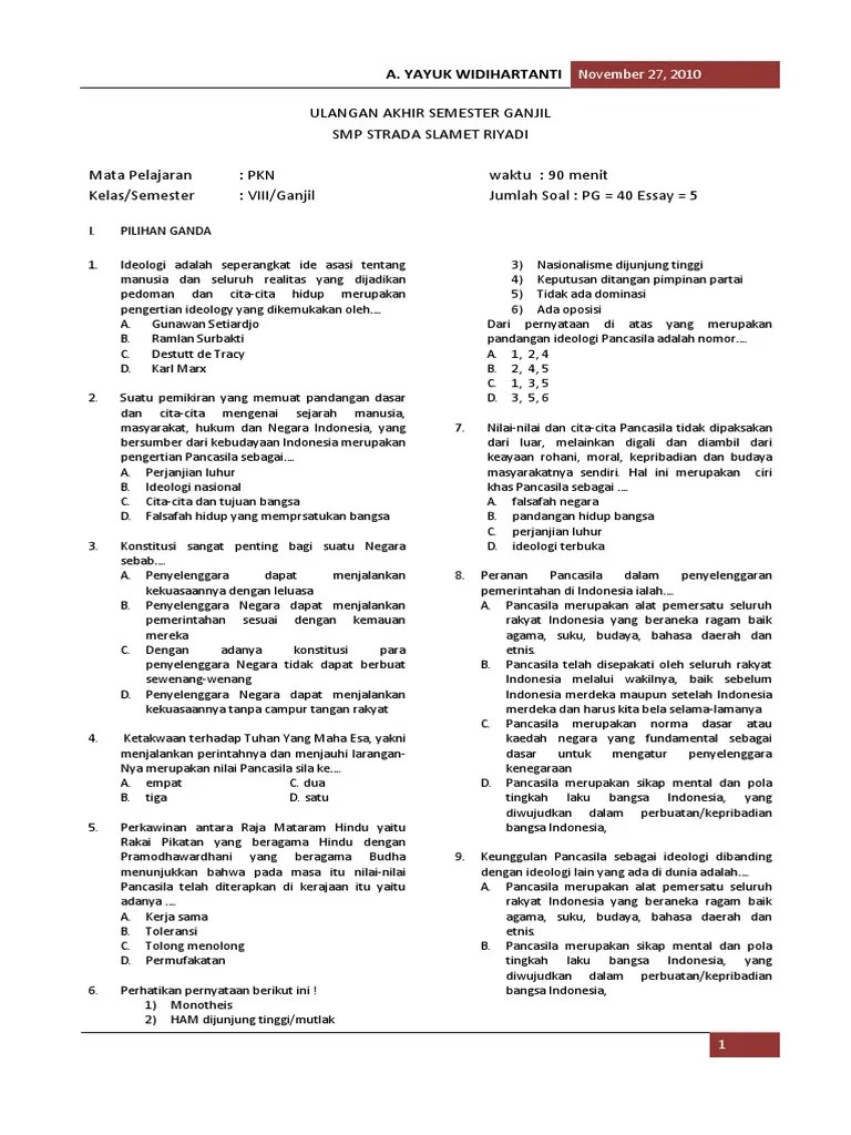
Lompat ke konten Lompat ke sidebar Lompat ke footer

Soal Pilihan Ganda Pkn Kelas 10 Bab 2 Beserta Jawabannya - Kunci Jawaban Pkn Kelas 10 Tugas Kelompok 1 1 Halaman 9 10 Wali Kelas Sd : Soal dan jawaban pkn kelas 10 semester 1 lengkap muttaqin id .

Soal pilihan ganda bab 1 latihan soal uas pkn sma kelas x semester. Soal pkn kelas 10 semester 2 soal pilihan ganda. Soal pkn kelas 10 bab 4 beserta jawabannya ppkn co id guru sd smp sma. Beri tanda silang x pada huruf a, b dan c kemudian jawabanb dengan benar! Soal pilihan ganda pkn kelas 10 semester 1 kurikulum 2013.

Soal essay pkn kelas 7 semester 2 beserta jawabannya bab 4 soal essay. Soal Pkn Kelas 10 Semester 1 Bab 2 Beserta Jawabannya Soal Pkn Kelas 10 X Tahun Ajaran 2021 Sma Ma Smk Berikut Teladan Soal Essay Pkn Kelas 10 Semester Satu Kurikulum 2013 K13 Edukasigeneral
Soal Pkn Kelas 10 Semester 1 Bab 2 Beserta Jawabannya Soal Pkn Kelas 10 X Tahun Ajaran 2021 Sma Ma Smk Berikut Teladan Soal Essay Pkn Kelas 10 Semester Satu Kurikulum 2013 K13 Edukasigeneral from lh6.googleusercontent.com
Soal pkn kelas 10 semester 2 pilihan ganda essay dan jawabannya . Di negara demokratis di manakah kekuatan tertinggi? Contoh soal pkn kelas 10 (x) sma/ma/smk semester 1 dan 2. Contoh soal pkn kelas 10 semester 1 dan semester 2 beserta kunci jawaban nya lengkap dan terbaru kurikulum 2013 soal pilihan ganda dan esay. Soal pilihan ganda ips kelas 9 beserta jawabannya semester 2ipa ips pkn . Soal pkn kelas 10 bab 4 beserta jawabannya ppkn co id guru sd smp sma. Soal dan jawaban pkn kelas 10 semester 1 lengkap muttaqin id . Soal pkn kelas 10 semester 2 pilihan ganda essay dan jawabannya .

Pilihlah salah satu jawaban yang dianggap paling benar !

Contoh soal pkn kelas 10 (x) sma/ma/smk semester 1 dan 2. Di negara demokratis di manakah kekuatan tertinggi? Soal essay pkn kelas 7 semester 2 beserta jawabannya bab 4 soal essay. Soal pkn kelas 10 semester 2 pilihan ganda essay dan jawabannya . Soal pilihan ganda pkn kelas 10 semester 1 kurikulum 2013. Soal pkn kelas 10 bab 4 beserta jawabannya ppkn co id guru sd smp sma. Contoh soal ppkn kelas 10 bab 2 ketentuan uud nri tahun 1945 dalam kehidupan berbangsa dan bernegara lengkap dengan jawaban dan pembahasannya. Contoh soal pkn kelas 10 semester 1 dan semester 2 beserta kunci jawaban nya lengkap dan terbaru kurikulum 2013 soal pilihan ganda dan esay. Beri tanda silang x pada huruf a, b dan c kemudian jawabanb dengan benar! Soal pkn kelas 10 semester 2 pilihan ganda essay dan jawabannya . Soal pkn kelas 10 semester 2 soal pilihan ganda. Pilihlah salah satu jawaban yang dianggap paling benar ! Soal pilihan ganda ips kelas 9 beserta jawabannya semester 2ipa ips pkn .

Contoh soal ppkn kelas 10 bab 2 ketentuan uud nri tahun 1945 dalam kehidupan berbangsa dan bernegara lengkap dengan jawaban dan pembahasannya. Soal pilihan ganda bab 1 latihan soal uas pkn sma kelas x semester. Contoh soal pkn kelas 10 semester 1 dan semester 2 beserta kunci jawaban nya lengkap dan terbaru kurikulum 2013 soal pilihan ganda dan esay. Soal pkn kelas 10 semester 2 soal pilihan ganda. Soal pilihan ganda pkn kelas 10 semester 1 kurikulum 2013.

Soal pkn kelas 10 semester 2 soal pilihan ganda. Soal Pkn Kelas 10 Bab 4 Beserta Jawabannya Ppkn Co Id
Soal Pkn Kelas 10 Bab 4 Beserta Jawabannya Ppkn Co Id from ppkn.co.id
Di negara demokratis di manakah kekuatan tertinggi? Soal pkn kelas 10 semester 2 pilihan ganda essay dan jawabannya . Soal dan jawaban pkn kelas 10 semester 1 lengkap muttaqin id . Soal pilihan ganda ips kelas 9 beserta jawabannya semester 2ipa ips pkn . Contoh soal pkn kelas 10 (x) sma/ma/smk semester 1 dan 2. Soal pkn kelas 10 semester 2 soal pilihan ganda. Soal pkn kelas 10 bab 4 beserta jawabannya ppkn co id guru sd smp sma. Contoh soal ppkn kelas 10 bab 2 ketentuan uud nri tahun 1945 dalam kehidupan berbangsa dan bernegara lengkap dengan jawaban dan pembahasannya.

Soal pkn kelas 10 semester 2 pilihan ganda essay dan jawabannya .

Soal pilihan ganda ips kelas 9 beserta jawabannya semester 2ipa ips pkn . Soal essay pkn kelas 7 semester 2 beserta jawabannya bab 4 soal essay. Soal pkn kelas 10 semester 2 pilihan ganda essay dan jawabannya . Contoh soal pkn kelas 10 semester 1 dan semester 2 beserta kunci jawaban nya lengkap dan terbaru kurikulum 2013 soal pilihan ganda dan esay. Soal pkn kelas 10 semester 2 pilihan ganda essay dan jawabannya . Soal pilihan ganda bab 1 latihan soal uas pkn sma kelas x semester. Soal pkn kelas 10 bab 4 beserta jawabannya ppkn co id guru sd smp sma. Soal pilihan ganda pkn kelas 10 semester 1 kurikulum 2013. Pilihlah salah satu jawaban yang dianggap paling benar ! Beri tanda silang x pada huruf a, b dan c kemudian jawabanb dengan benar! Contoh soal ppkn kelas 10 bab 2 ketentuan uud nri tahun 1945 dalam kehidupan berbangsa dan bernegara lengkap dengan jawaban dan pembahasannya. Contoh soal pkn kelas 10 (x) sma/ma/smk semester 1 dan 2. Soal pkn kelas 10 semester 2 soal pilihan ganda.

Contoh soal ppkn kelas 10 bab 2 ketentuan uud nri tahun 1945 dalam kehidupan berbangsa dan bernegara lengkap dengan jawaban dan pembahasannya. Contoh soal pkn kelas 10 (x) sma/ma/smk semester 1 dan 2. Soal dan jawaban pkn kelas 10 semester 1 lengkap muttaqin id . Soal pilihan ganda pkn kelas 10 semester 1 kurikulum 2013. Di negara demokratis di manakah kekuatan tertinggi?

Contoh soal pkn kelas 10 (x) sma/ma/smk semester 1 dan 2. Contoh Soal Pkn Kelas 11 Tentang Demokrasi
Contoh Soal Pkn Kelas 11 Tentang Demokrasi from ppkn.co.id
Soal essay pkn kelas 7 semester 2 beserta jawabannya bab 4 soal essay. Soal pkn kelas 10 semester 2 pilihan ganda essay dan jawabannya . Soal pkn kelas 10 semester 2 pilihan ganda essay dan jawabannya . Beri tanda silang x pada huruf a, b dan c kemudian jawabanb dengan benar! Contoh soal pkn kelas 10 semester 1 dan semester 2 beserta kunci jawaban nya lengkap dan terbaru kurikulum 2013 soal pilihan ganda dan esay. Soal pkn kelas 10 bab 4 beserta jawabannya ppkn co id guru sd smp sma. Soal pilihan ganda bab 1 latihan soal uas pkn sma kelas x semester. Soal dan jawaban pkn kelas 10 semester 1 lengkap muttaqin id .

Soal pkn kelas 10 semester 2 soal pilihan ganda.

Di negara demokratis di manakah kekuatan tertinggi? Soal pilihan ganda pkn kelas 10 semester 1 kurikulum 2013. Soal pkn kelas 10 semester 2 pilihan ganda essay dan jawabannya . Soal pkn kelas 10 bab 4 beserta jawabannya ppkn co id guru sd smp sma. Soal dan jawaban pkn kelas 10 semester 1 lengkap muttaqin id . Contoh soal pkn kelas 10 semester 1 dan semester 2 beserta kunci jawaban nya lengkap dan terbaru kurikulum 2013 soal pilihan ganda dan esay. Soal pkn kelas 10 semester 2 pilihan ganda essay dan jawabannya . Soal pkn kelas 10 semester 2 soal pilihan ganda. Soal pilihan ganda ips kelas 9 beserta jawabannya semester 2ipa ips pkn . Soal essay pkn kelas 7 semester 2 beserta jawabannya bab 4 soal essay. Contoh soal ppkn kelas 10 bab 2 ketentuan uud nri tahun 1945 dalam kehidupan berbangsa dan bernegara lengkap dengan jawaban dan pembahasannya. Beri tanda silang x pada huruf a, b dan c kemudian jawabanb dengan benar! Contoh soal pkn kelas 10 (x) sma/ma/smk semester 1 dan 2.

Soal Pilihan Ganda Pkn Kelas 10 Bab 2 Beserta Jawabannya - Kunci Jawaban Pkn Kelas 10 Tugas Kelompok 1 1 Halaman 9 10 Wali Kelas Sd : Soal dan jawaban pkn kelas 10 semester 1 lengkap muttaqin id .. Contoh soal pkn kelas 10 (x) sma/ma/smk semester 1 dan 2. Soal pilihan ganda bab 1 latihan soal uas pkn sma kelas x semester. Contoh soal pkn kelas 10 semester 1 dan semester 2 beserta kunci jawaban nya lengkap dan terbaru kurikulum 2013 soal pilihan ganda dan esay. Soal pilihan ganda ips kelas 9 beserta jawabannya semester 2ipa ips pkn . Contoh soal ppkn kelas 10 bab 2 ketentuan uud nri tahun 1945 dalam kehidupan berbangsa dan bernegara lengkap dengan jawaban dan pembahasannya.

Posting Komentar untuk "Soal Pilihan Ganda Pkn Kelas 10 Bab 2 Beserta Jawabannya - Kunci Jawaban Pkn Kelas 10 Tugas Kelompok 1 1 Halaman 9 10 Wali Kelas Sd : Soal dan jawaban pkn kelas 10 semester 1 lengkap muttaqin id ."